连载6:利用卷积计算两个信号的乘积
摘自·通信人家园·陈爱军
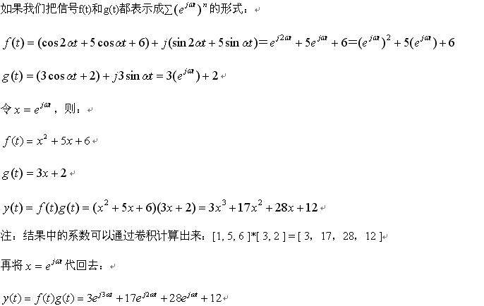
$$\qquad$$下面我们举个具体的例子来体会一下“如果信号可以分解为类似多项式的这种形式:
$$\qquad$$会涉及一系列的三角函数公式,计算过程非常麻烦。具体的计算过程这里就不列了,大家可以试一下,看看有多麻烦。

$$\qquad$$下面我们举个具体的例子来体会一下“如果信号可以分解为类似多项式的这种形式:
$$\qquad$$会涉及一系列的三角函数公式,计算过程非常麻烦。具体的计算过程这里就不列了,大家可以试一下,看看有多麻烦。
